MG-Rover.org Forums banner

Just Bought a ZS 180

1.6K views 10 replies 6 participants last post by  Dan1971  
#1 ·
I've just PX'd my TF for a 2004 ZS 180 saloon. I'm not gonna say one bad word about the TF by the way, i just need the practicality.

It's got to be serviced before I collect it. It'll be the 4 year service. Is there anything in particular i should ensure I get them to do before I take it away ?
Cheers.
Dan.
 
#3 ·
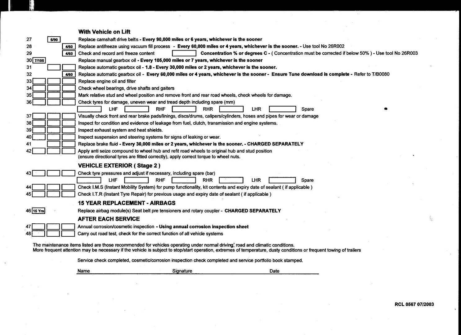
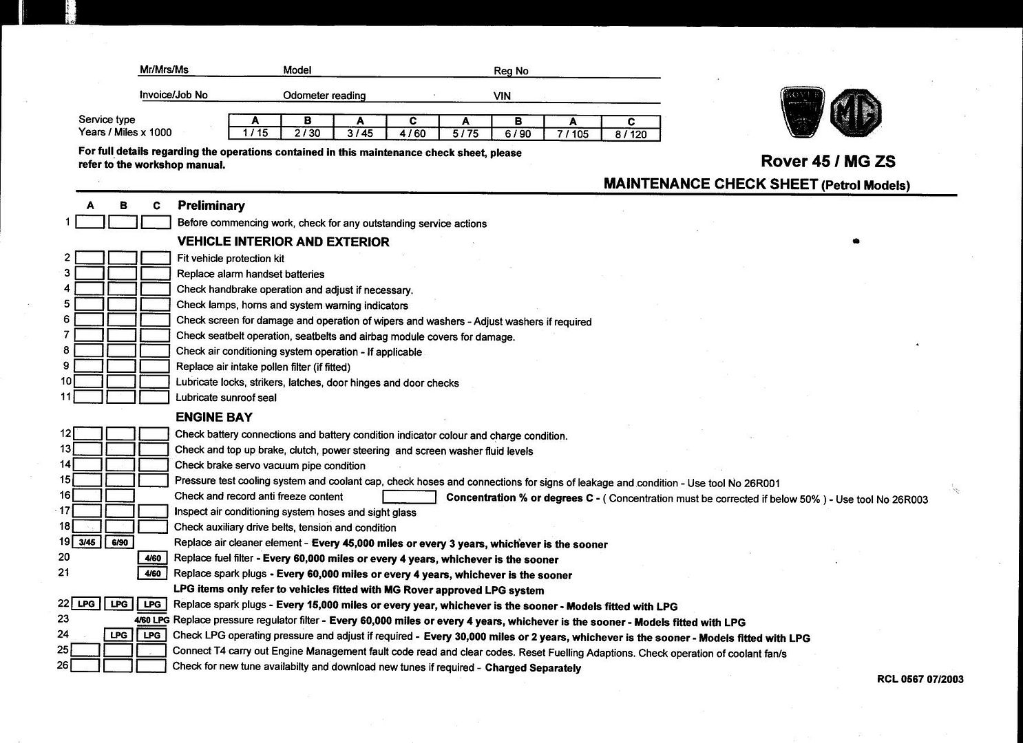
I use a copy of the service sheets, Shroonie has linked to, to tell my garage what needs doing each year. Depends if you use an MGR specialist as to whether they know what needs doing. At 4 year service last year there was quite a bit.

Oil & Filter
Pollen Filter
Air filter if not done at 3 year
Fuel filter
Coolant change
Spark Plugs (bought off e-bay)
Brake Fluid (every 2 years)

Check exhaust, I have just replaced (at 5 years old) mid and rear sections with genuine MGR parts at ÂŁ285 including fitting.

Hope you enjoy it. I've had mine for 5 years and enjoyed it.
 
#6 ·
mine has just hit 4 years old now,

i have had the sparkplugs replaced already and the oil filter,

Would you reccomend that i get the other items looked at this year
I did them, even though the car had only done 24k as I tend to be cautious and do things by the book, especially when I don't totally understand the mechanics of the items/fluids and how they may deteriorate.
 
#9 ·
ZS180's are habit forming really - I've had mine 4 years so far, and usually change cars after 3! Trouble is every time I think I should change it, I go for a drive and end up thinking "what could possibly replace this with the way it drives and makes me feel?" Everything else seems "soft" after a good thrash in the Zed.

I was gonna change mine after having the cambelts etc done late last year but I still don't know what else could replace it.
Maybe I'll just mod it some more and see.